Classe de 4e3
Mardi 30 Juin (page 1)
Bonjour,
Je vous dépose en page 2 la correction de la fiche-méthode sur l'écriture d'une équation-bilan. Je vous demande ensuite un dernier effort pour faire ce petit devoir sur les équations (page 1). Je vous déposerai la correction en fin de semaine.
Posted by idelaborie
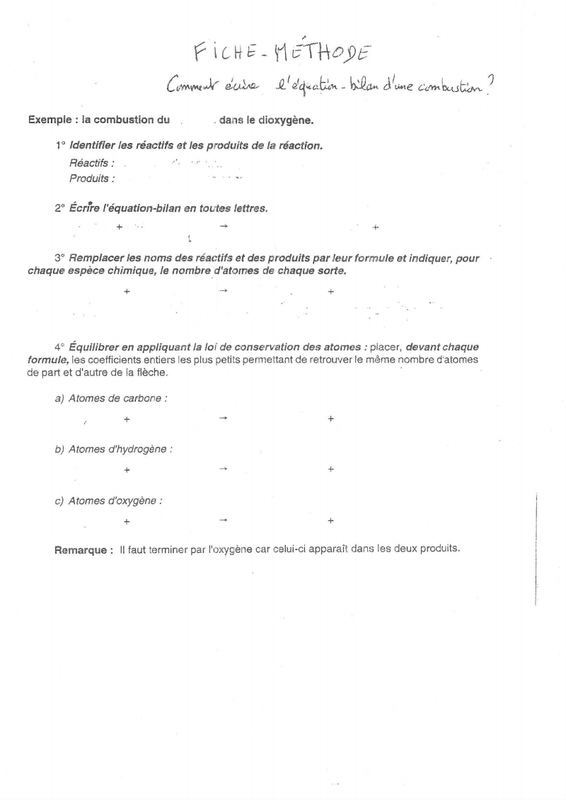
Mardi 30 Juin (page 2)
Voici la correction de la fiche-méthode "Comment écrire l'équation-bilan d'une combustion ?"
Posted by idelaborie
Dimanche 28 Juin
Bonjour
J'ai oublié de vous déposer la correction du QCM lundi 22. Je le fais donc aujourd'hui.
Bonne journée.
Posted by idelaborie
Mardi 23 Juin (page 1)
Bonjour
Je vous dépose la suite du cours sur la transformation chimique. Les consignes du travail que vous aurez à faire pour la semaine prochaine sont indiquées sur cette fiche de cours. Les deux fiches à remplir sont sur les pages 2 et 3.
Bonne semaine.
Madame de Laborie.
Posted by idelaborie
Mardi 23 Juin (page 2)
Fiche à remplir sur la combustion du méthane
Posted by idelaborie
Mardi 23 Juin (page 3)
Fiche-méthode : "Comment écrire l'équation-bilan d'une combustion ?"
Posted by idelaborie
Exercices Sur La Résistance À Faire Pour Le 3103
Posted by idelaborie
Mercredi 22 avril
Bonjour
Je vous dépose la correction du travail que vous aviez à faire sur le son. Je vous demande de recopier cette page dans votre classeur. Je vous mettrai la suite du travail d'ici la fin de la semaine.
Bonne soirée.
Madame de Laborie.
Posted by idelaborie
Bonjour
Je vous dépose ici quelques exercices à faire pour le 31/03 sur la résistance et la loi d'Ohm.
Je vous demande de les faire dans votre partie exercices sans me les renvoyer. Je vous déposerai ici la correction mardi 31/3.
Bon courage.
Madame de Laborie
Posted by idelaborie
Mardi 28 avril (page 1)
Bonjour,
Je vous demande de recopier ces pages de cours après avoir regardé le document 6 sur le Moodle "Agir sur le bruit".
Ensuite, vous essaierez de compléter la fiche 2 et vous ferez l'activité 1 sur la propagation du son pour le mardi 5 mai sans me les renvoyer.
Bon courage.
Madame de Laborie.
Posted by idelaborie